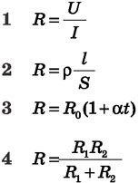
Установіть відповідність між формулою та її фізичним змістом.

- А – Залежність опору від температури провідника
- Б – Опір ділянки кола з двома резисторами
- В – Залежність опору від характеристик провідника
- Г – Залежність опору від напруги та сили струму
- Д – Зв'язок між напругою та силою струму на ділянці електричного кола
Виберіть правильний варіант
Завдання передбачають установлення відповідності. До кожного рядка, позначеного цифрою, доберіть один відповідник, позначений буквою. Поставте позначки на перетині відповідних рядків (цифри) і стовбчиків (букви).
TOP Оголошень